Mekanisme Reaksi Esterifikasi Dan Contohnya
![]() |
| Mekanisme Reaksi Esterifikasi |
Glosaria.com - Esterifikasi adalah reaksi terbentuknya ester dari senyawa asam karboksilat dan alkohol. Pada reaksi ini terjadi proses penggantian gugus -OH dari asam karboksilat dengan gugus alkoksi dari alkohol. Reaksi esterifikasi berlangsung lambat dan bersifat dapat balik (reversibel).
Pengertian Ester
Ester adalah merupakan turunan dari asam karboksilat dengan gugus -OR dari alkohol. Ester memiliki rumus umum R'COOR dimana R' dapat berupa H, alkil, hidrogen aromatik dan R dapat berupa gugus alkil atau hidrokarbon aromatik.
Ester merupakan zat yang memiliki ciri berbau harum, menyebabkan cita rasa dan harum dari
banyak buah-buahan dan bunga. Ester dapat dihasilkan dari reaksi esterifikasi.
Reaksi Esterifikasi
Suatu senyawa ester dapat dibuat dari asam dengan alkohol atau dari anhidra asam dengan alkohol. Jadi, dapat dikatakan bahwa reaksi esterifikasi adalah reaksi pembentukan ester dari senyawa asam karboksilat dengan alkohol.
Suatu asam ester karboksilat ialah suatu senyawa yang mengandung gugus -CO2R dengan R dapat terbentuk alkil maupun asil. Alkohol dengan asam karboksilat dan turunan asam karboksilat. Reaksi ini disebut dengan reaksi esterifikasi (Fessenden dan Fessenden, 1986).
Reaksi esterifikasi termasuk dalam reaksi golongan SN2 karena dalam keadaan transisi, melibatkan dua partikel secara bersamaan. Esterifikasi adalah salah satu contoh reaksi subtitusi, dimana atom dalam senyawa kimia digantikan dengan atom lainnya. Pada reaksi esterifikasi, gugus -OH pada asam karboksilat digantikan oleh gugus -OR pada alkohol dan membentuk ester. Berdasarkan hal tersebut maka dapat dikatakan bahwa esterifikasi tergolong dalam reaksi substitusi.
Esterifikasi fischer merupakan reaksi esterifikasi asam karboksilat dan alkohol dengan bantuan katalis asam. Contoh esterifikasi fischer adalah sintesis etil Asetat.
Mekanisme Reaksi Esterifikasi
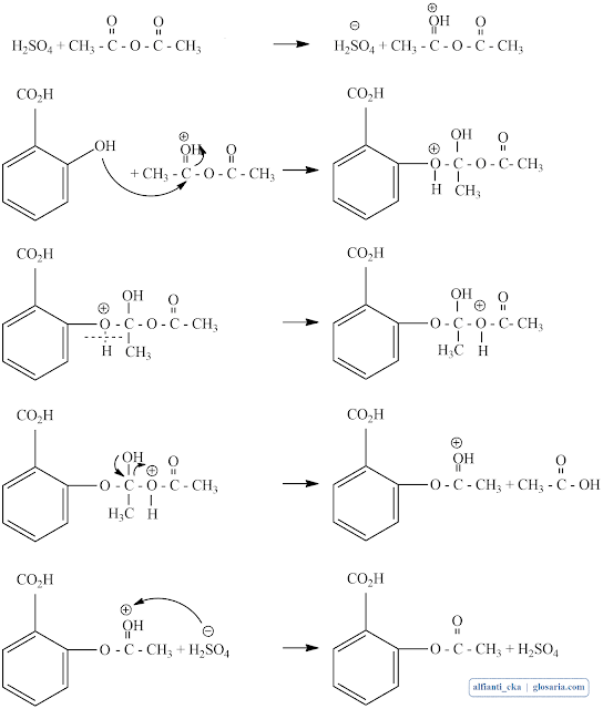
Bagaiman esterifikasi dapat terjadi dapat dijelaskan melalui mekanisme reaksi esterifikasi itu sendiri. Contohnya, asam karboksilat apabila direaksikan dengan alkohol dan bantuan katalisator asam akan menghasilkan ester. Reaksi tersebut biasa disebut dengan esterifikasi fischer. Reaksi keseluruhan merupakan pergantian gugus fungsi -OH dari asam karboksilat dengan gugus -OR dari alkohol. Berikut ini adalah mekanisme lengkap dalam reaksi esterifikasi.
Dalam larutan asam, oksigen karbonil dari suatu ester dapat diprotonasikan kemudian karbonil yang bermuatan positif parsial dapat diserang oleh nukleofil lemah seperti air.
Dalam larutan basa, karbon karbonil suatu ester dapat diserang oleh suatu nukleofil yang baik tanpa protonasi sebelumnya. Jalan adisi-eliminasi ini sama dengan klorida asam dan anhidrida:
Mekanisme reaksi esterifikasi merupakan reaksi substitusi nukleofilik dengan katalisator asam. Gugus karbonil dari asam karboksilat tidak cukup kuat sebagai elektrofil untuk diserang oleh alkohol. Katalis asam akan memprotonasi gugus karbonil dan mengaktivasinya ke arah penyerangan nukleofil. Pelepasan proton akan menghasilkan hidrat dari ester kemudian terjadi transfer elektron:
Pelepasan air akan membentuk ester terprotonasi dan pelapisan proton akan menghasilkan ester.
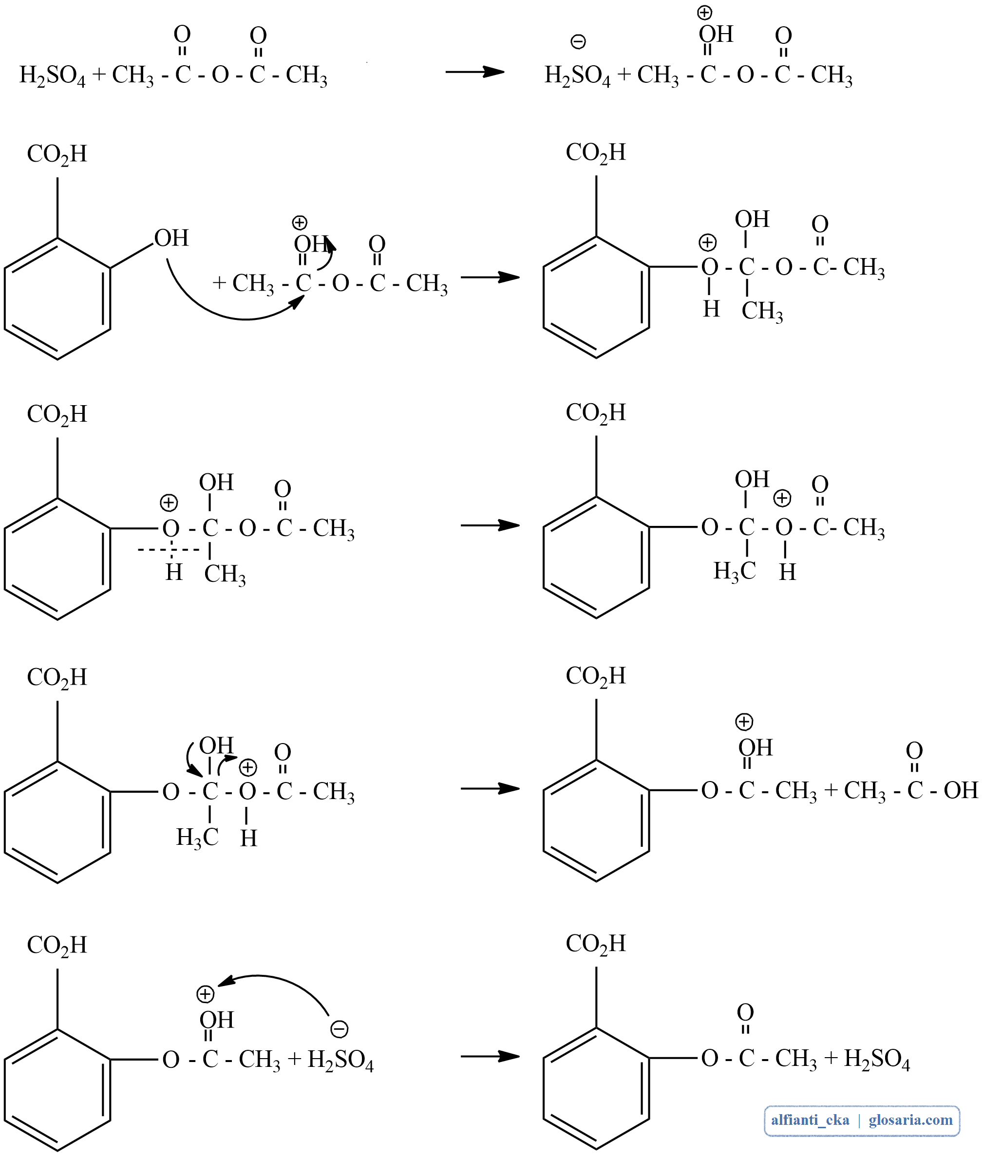
Berikut ini adalah contoh reaksi esterifikasi pada proses sintesis senyawa aspirin.
Mekanisme reaksinya yaitu asam asetat anhidrida menyerang H+ dan mengalami resonansi. Anhidrida asam asetat menyerang gugus fenol dari asam salisilat H+ terlepas dari OH- dan berikatan dengan atom O pada asam asetat anhidrida. Asam asetat anhidrida terputus menjadi asam asetat dan asam asetil salisilat (aspirin) H+ akan terlepas dari aspirin.
Contoh Reaksi Esterifikasi
Esterifikasi adalah reaksi yang bertujuan membentuk senyawa ester seperti aspirin, etil asetat, dan asam salisilat. Berikut ini merupakan beberapa contoh penggunaan reaksi esterifikasi dalam kehidupan sehari-hari:
1. Pembuatan Aspirin
Salah satu contoh penggunaan reaksi esterifikasi adalah pada proses pembuatan Aspirin. Aspirin merupakan senyawa turunan asam salisilat yang dapat disintesis melalui reaksi esterifikasi. Asam salisilat pada anhidrida asam asetat sehingga terjadi substitusi gugus hidroksi (-OH) pada asam salisilat dengan gugus asetil pada anhidrat asetat.
2. Pembuatan Etil Asetat
Senyawa Etil Asetat dapat dibuat atau disintesis dari senyawa asam dan etanol dengan reaksi esterifikasi fischer. Reaksi antara asam asetat dan etanol akan menghasilkan etil asetat.
3. Sintesis Asam Salisilat
Prinsip dasar pada pembuatan asam salisilat adalah dengan menggunakan prinsip reaksi esterifikasi, yaitu dengan mereaksikan metil salisilat yang terdapat pada minyak gandapura dengan menggunakan katalis basa yaitu NaOH.









Posting Komentar untuk "Mekanisme Reaksi Esterifikasi Dan Contohnya"